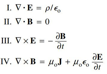
Maxwell’s equations can be written in the form shown below. If magnetic charge exists and if it is conserved, which of these equations will have to be changed
Solution:
Gauss Law for magnetism:
Faraday Law of Induction:
Answer: E
Solution:
Gauss Law for magnetism:
Faraday Law of Induction:
- The electric field is equal to the negative of the rate of change of the magnetic flux.
- If there is magnetic monopole, an extra term (involving the current of magnetic monopoles) must be added to the right-hand side of the equation in order to make it self-consistent.
Answer: E
No comments :
Post a Comment